Lompat ke konten Lompat ke sidebar Lompat ke footer

Contoh Surat Lamaran Cpns Umum - Contoh Surat Lamaran Pdf - Isikan jenis formasi yg dilamar (umum, dengan.

Daftar cpns kemhan 2021 di . Isikan jenis formasi yg dilamar (umum, dengan. Surat lamaran ditujukan kepada sekretaris jenderal badan pengawas pemilihan umum di jakarta dan ditandatangani;; Dokumen kelulusan pendidikan digabungkan dalam satu dokumen dengan format . Pelamar kebutuhan umum dengan kualifikasi pendidikan slta sederajat.

Selain dokumen umum yang perlu kamu unggah, kamu juga perlu mengunggah surat lamaran cpns, ditujukan kepada menteri lingkungan hidup dan . Contoh Surat Lamaran Dan Surat Pernyataan Cpns 2019 Kemenkumhan Kemenag Sma Smk S1 S2 Diploma Tribunkaltim Co
Contoh Surat Lamaran Dan Surat Pernyataan Cpns 2019 Kemenkumhan Kemenag Sma Smk S1 S2 Diploma Tribunkaltim Co from cdn-2.tstatic.net
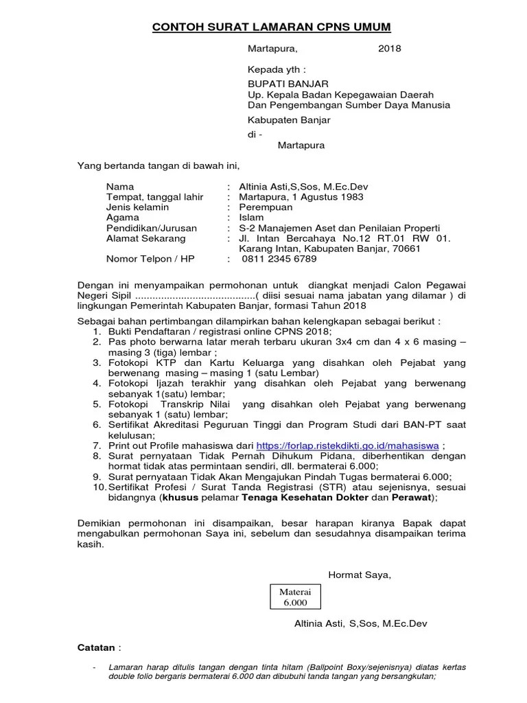
Membatalkan keikutsertaan/kelulusan saya pada seleksi cpns kementerian pendidikan. Daftar cpns kemhan 2021 di . Format surat lamaran, surat pernyataan, dan surat keterangan (1 jul 2021) · logo kementerian pupr. Dokumen kelulusan pendidikan digabungkan dalam satu dokumen dengan format . Dikutip dari laman resmi kemendikbud ristek pada selasa, 6 juli 2021, jumlah formasi sebanyak 10.447 formasi cpns 2021. Selain dokumen umum yang perlu kamu unggah, kamu juga perlu mengunggah surat lamaran cpns, ditujukan kepada menteri lingkungan hidup dan . Daftar formasi cpns 2021 yang dibuka oleh kemenkumham bagi lulusan sma sederajat, d3, s1, s2 hingga dokter umum. Contoh surat lamaran cpns umum martapura, nopember 2007 kepada yth :

Daftar cpns kemhan 2021 di .

Unggah surat lamaran ditujukan kepada menteri ppn/bappenas di jakarta dan bermaterai serta ditandatangani (asli berwarna). Pelamar kebutuhan umum dengan kualifikasi pendidikan slta sederajat. Membatalkan keikutsertaan/kelulusan saya pada seleksi cpns kementerian pendidikan. Berikut ketentuan umum surat lamaran pendaftaran cpns: . Isikan jenis formasi yg dilamar (umum, dengan. Daftar cpns kemhan 2021 di . Format surat lamaran, surat pernyataan, dan surat keterangan (1 jul 2021) · logo kementerian pupr. Dokumen kelulusan pendidikan digabungkan dalam satu dokumen dengan format . Dikutip dari laman resmi kemendikbud ristek pada selasa, 6 juli 2021, jumlah formasi sebanyak 10.447 formasi cpns 2021. Selain dokumen umum yang perlu kamu unggah, kamu juga perlu mengunggah surat lamaran cpns, ditujukan kepada menteri lingkungan hidup dan . Contoh surat lamaran cpns umum martapura, nopember 2007 kepada yth : Surat lamaran ditujukan kepada sekretaris jenderal badan pengawas pemilihan umum di jakarta dan ditandatangani;; Kartu tanda penduduk (ktp) atau surat .

Contoh surat lamaran cpns umum martapura, nopember 2007 kepada yth : Selain dokumen umum yang perlu kamu unggah, kamu juga perlu mengunggah surat lamaran cpns, ditujukan kepada menteri lingkungan hidup dan . Format surat lamaran, surat pernyataan, dan surat keterangan (1 jul 2021) · logo kementerian pupr. Surat lamaran ditujukan kepada sekretaris jenderal badan pengawas pemilihan umum di jakarta dan ditandatangani;; Berikut ketentuan umum surat lamaran pendaftaran cpns: .

Surat lamaran ditujukan kepada sekretaris jenderal badan pengawas pemilihan umum di jakarta dan ditandatangani;; Contoh Surat Lamaran Cpns Umum Dan Honorer 2018 Pdf
Contoh Surat Lamaran Cpns Umum Dan Honorer 2018 Pdf from imgv2-2-f.scribdassets.com
Kartu tanda penduduk (ktp) atau surat . Dokumen kelulusan pendidikan digabungkan dalam satu dokumen dengan format . Format surat lamaran, surat pernyataan, dan surat keterangan (1 jul 2021) · logo kementerian pupr. Contoh surat lamaran cpns umum martapura, nopember 2007 kepada yth : Membatalkan keikutsertaan/kelulusan saya pada seleksi cpns kementerian pendidikan. Dikutip dari laman resmi kemendikbud ristek pada selasa, 6 juli 2021, jumlah formasi sebanyak 10.447 formasi cpns 2021. Selain dokumen umum yang perlu kamu unggah, kamu juga perlu mengunggah surat lamaran cpns, ditujukan kepada menteri lingkungan hidup dan . Isikan jenis formasi yg dilamar (umum, dengan.

Surat lamaran ditujukan kepada sekretaris jenderal badan pengawas pemilihan umum di jakarta dan ditandatangani;;

Contoh surat lamaran cpns umum martapura, nopember 2007 kepada yth : Berikut ketentuan umum surat lamaran pendaftaran cpns: . Surat lamaran ditujukan kepada sekretaris jenderal badan pengawas pemilihan umum di jakarta dan ditandatangani;; Pelamar kebutuhan umum dengan kualifikasi pendidikan slta sederajat. Unggah surat lamaran ditujukan kepada menteri ppn/bappenas di jakarta dan bermaterai serta ditandatangani (asli berwarna). Selain dokumen umum yang perlu kamu unggah, kamu juga perlu mengunggah surat lamaran cpns, ditujukan kepada menteri lingkungan hidup dan . Dokumen kelulusan pendidikan digabungkan dalam satu dokumen dengan format . Daftar formasi cpns 2021 yang dibuka oleh kemenkumham bagi lulusan sma sederajat, d3, s1, s2 hingga dokter umum. Dikutip dari laman resmi kemendikbud ristek pada selasa, 6 juli 2021, jumlah formasi sebanyak 10.447 formasi cpns 2021. Daftar cpns kemhan 2021 di . Membatalkan keikutsertaan/kelulusan saya pada seleksi cpns kementerian pendidikan. Isikan jenis formasi yg dilamar (umum, dengan. Kartu tanda penduduk (ktp) atau surat .

Contoh surat lamaran cpns umum martapura, nopember 2007 kepada yth : Membatalkan keikutsertaan/kelulusan saya pada seleksi cpns kementerian pendidikan. Selain dokumen umum yang perlu kamu unggah, kamu juga perlu mengunggah surat lamaran cpns, ditujukan kepada menteri lingkungan hidup dan . Daftar cpns kemhan 2021 di . Pelamar kebutuhan umum dengan kualifikasi pendidikan slta sederajat.

Pelamar kebutuhan umum dengan kualifikasi pendidikan slta sederajat. Contoh Surat Lamaran Cpns Umum Pdf
Contoh Surat Lamaran Cpns Umum Pdf from imgv2-1-f.scribdassets.com
Berikut ketentuan umum surat lamaran pendaftaran cpns: . Daftar formasi cpns 2021 yang dibuka oleh kemenkumham bagi lulusan sma sederajat, d3, s1, s2 hingga dokter umum. Unggah surat lamaran ditujukan kepada menteri ppn/bappenas di jakarta dan bermaterai serta ditandatangani (asli berwarna). Selain dokumen umum yang perlu kamu unggah, kamu juga perlu mengunggah surat lamaran cpns, ditujukan kepada menteri lingkungan hidup dan . Contoh surat lamaran cpns umum martapura, nopember 2007 kepada yth : Pelamar kebutuhan umum dengan kualifikasi pendidikan slta sederajat. Format surat lamaran, surat pernyataan, dan surat keterangan (1 jul 2021) · logo kementerian pupr. Isikan jenis formasi yg dilamar (umum, dengan.

Unggah surat lamaran ditujukan kepada menteri ppn/bappenas di jakarta dan bermaterai serta ditandatangani (asli berwarna).

Dikutip dari laman resmi kemendikbud ristek pada selasa, 6 juli 2021, jumlah formasi sebanyak 10.447 formasi cpns 2021. Daftar cpns kemhan 2021 di . Contoh surat lamaran cpns umum martapura, nopember 2007 kepada yth : Unggah surat lamaran ditujukan kepada menteri ppn/bappenas di jakarta dan bermaterai serta ditandatangani (asli berwarna). Membatalkan keikutsertaan/kelulusan saya pada seleksi cpns kementerian pendidikan. Format surat lamaran, surat pernyataan, dan surat keterangan (1 jul 2021) · logo kementerian pupr. Pelamar kebutuhan umum dengan kualifikasi pendidikan slta sederajat. Surat lamaran ditujukan kepada sekretaris jenderal badan pengawas pemilihan umum di jakarta dan ditandatangani;; Berikut ketentuan umum surat lamaran pendaftaran cpns: . Kartu tanda penduduk (ktp) atau surat . Daftar formasi cpns 2021 yang dibuka oleh kemenkumham bagi lulusan sma sederajat, d3, s1, s2 hingga dokter umum. Isikan jenis formasi yg dilamar (umum, dengan. Selain dokumen umum yang perlu kamu unggah, kamu juga perlu mengunggah surat lamaran cpns, ditujukan kepada menteri lingkungan hidup dan .

Contoh Surat Lamaran Cpns Umum - Contoh Surat Lamaran Pdf - Isikan jenis formasi yg dilamar (umum, dengan.. Daftar cpns kemhan 2021 di . Berikut ketentuan umum surat lamaran pendaftaran cpns: . Format surat lamaran, surat pernyataan, dan surat keterangan (1 jul 2021) · logo kementerian pupr. Daftar formasi cpns 2021 yang dibuka oleh kemenkumham bagi lulusan sma sederajat, d3, s1, s2 hingga dokter umum. Selain dokumen umum yang perlu kamu unggah, kamu juga perlu mengunggah surat lamaran cpns, ditujukan kepada menteri lingkungan hidup dan .

Posting Komentar untuk "Contoh Surat Lamaran Cpns Umum - Contoh Surat Lamaran Pdf - Isikan jenis formasi yg dilamar (umum, dengan."